1. 용량성 누설전류
1-1. 용량성 누설전류 발생원인
1) 대지 정전용량에 의한 발생.
▶ 지중선로는 도선과 대지사이에 정전용량이 발생하여 용량성누설전류가 발생하게 된다.
배전선로의 전류와 선로길이에 비례하여 커지며 선로 주위 대지가 젖어있는 경우엔 더욱 증가한다.
2) 220V 60Hz 교류전류가 콘덴서 성분을 통하여 흐르게 될 때, Phaser 로 표현하면 다음과 같다.

그런데, 전기 계통에서 고조파, 고주파 노이즈 전류가 발생하여, C(콘덴서)성분을 통하여 흐르면,
기본파에 더하여,콘덴서전류값은 주파수에 비례하여 커지며 접지로 흐르는 경우 용량성누설전류가
커진다.
3) 각종 전기 기기 AC-DC변환부는 노이즈(EMI)필터 부품으로 L(인덕터)와 C(콘덴서)가 쓰인다.
부품중, 접지와 연결되는 C(콘덴서)는 AC-DC변환시 발생하는 고주파노이즈를 필터링 해주는데,
용량성 누설전류를 발생시킨다.
4) 절연트랜스(변압기)에서 1차코일과 2차 코일에 존재하는 캐패시턴스(capacitance)에 의하여 발생한다.
기타, PCB상의 반도체와 접지된 방열판간에 존재하는 캐패시턴스등도 있다.
◈ 용량성 누설전류의 증감 :
1. 전원계통 전압은 항상 일정하지 않음으로 전압변동에 따라서 용량성누설전류도 증감을 한다.
2. 부하기기를 ON - OFF제어하는경우에는, OFF- ON시, C 성분에 의한 과도돌입전류는 정상상태에서 보다
순간적으로 큰 용량성누설전류를 발생시킨다.
3. 낙뢰등에 의한 선로 대지전압 상승시에도 순간적으로 용량성누설전류는 증가한다. (누전차단기 트립 가능)
1-2. 용량성 누설전류의 특성.
1) 순수 용량성누설전류는 C(콘덴서)로 흐르는 전류의 특성을 갖으므로, < 식 1 > 로 부터 전압과
전류는 90도의 위상차를 갖음을 알 수 있다. ( 아래 그림 1. 참조. ic = c*dv/dt, v = Vm * cos wt )

2) 용량성 누설전류는 위의 그림처럼,전압과 전류 90도의 위상차을 갖으며 흐르기 때문에 열이
발생하지 않는다. 따라서, 화재의 위험이 없다.
3) 또한, 절연이 좋은 상태에서 접지도선 내부 또는 땅속 대지로 흐르므로 인체가 접촉할 위험은 없다.
즉, 감전의 위험도 없다. 설령, 흐르는 용량성누설전류를 인체 접촉하는 경우 인체는
저항체(5k~10k)이므로 저항성누설전류가 크게 흘러 IGR누전차단기 특성곡선에 따라 정상 동작을
함으로써 안전을 지킨다..
1-3. 용량성 누설전류의 영향.
▶ 용량성 누설전류가 전기 계통에 발생시, 누전차단기 오동작 트립을 일으킬 수 있다.
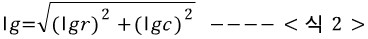
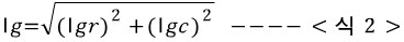
기존의 일반 누전차단기는 저항성 누설전류와 용량성 누설전류를 구분하지 않고,
설정된 누설전류(Ig)치 이상이면 아래 식으로서 트립동작을 한다.

(여기서, Ig = 누설전류, Igr = 저항성 누설전류, Igc = 용량성 누설전류 )
▶ 위험요소인 저항성 누설전류(Igr)가 아니라도,용량성 누설전류(Igc)값이 크면, 기존의
일반 누전차단기는 누설로 인식을 하여 트립 동작을 한다.
(ex. 단상220v,정격감도전류 30mA 누전차단기.)
2. 저항성 누설전류.
2-1. 저항성 누설전류 발생원인.
1) 절연의 열화(노화)에 의한 저항성 누설전류의 발생.
▶ 선로(케이블)를 처음 시설 시, 절연저항은 우수하며, 각종 부하기기도 전기설비 기준에 따라
절연 값을 충분히 갖게 끔 설계를 하고 시설을 하나 서지 및 낙뢰나 이상전압 발생으로
코로나 현상과 아크 그리고 온도 변화, 습도 변화등으로 열화가 된다.
2) 시설 및 관리의 허술로 발생
▶ 작업중의 케이블 및 전선의 피복의 찟김이나 벗겨짐 그리고 도체부의 물기(습기)에 노출됨으로서
발생한다. 기타, 안전 규정에 따르지 않은 시설 등.
2-2. 저항성 누설전류의 특성
1) 순수 저항성 누설전류는 아래의 그림 2.와 같은 곡선을 갖는다.
저항성누설전류는 절연저항의 열화로 발생시, 전압과 전류가 동상이므로 시간흐름에 따라 열이발생한다.
그러므로 화재의 위험이 있다.

2) 저항성누설전류는 절연열화로 외부(대지)로 흐르므로 인체접촉할 수 있으며,접촉시
감전의 위험이 있다.
3. 저항성 누설과 용량성 누설은 통상, 동시에도 발생가능하다.
그러나,위험인자는 Igr(저항성누설전류)로서 안전을 위해서는 저항성누설전류요인을 없에는 게 우선이며,
용량성 누설전류에의한 누전차단기 트립을 예방하기위해서는,용량성누설전류에 내성을 크게하여 만든
Igr 동작 방식의 누전차단기 사용을 추천한다.
'전기 > 전기 기초 이론' 카테고리의 다른 글
| [시퀀스제어기호]차단기 및 스위치류 (0) | 2020.12.25 |
|---|---|
| 옴의 법칙 (0) | 2020.12.25 |
| LED 조명 적용시 IRG누전차단기 와 일반 누전차단기특성비교 (0) | 2020.12.23 |
| [전선]HFIX (450/750V 저독성 난연 가교 폴리올레핀 절연 전선) (0) | 2019.04.24 |
| [용어,단위] 전기 단위 읽기표 (0) | 2019.03.15 |
| 저압 범위 개정과 한국전기설비규정(KEC) 제정 공고 (0) | 2019.03.15 |
| 접지선의 굵기의 산정 기초(0.0496In) 내선규정 개정 (2013년~) (1) | 2018.06.27 |
댓글